Teoria do Tempo Atômico
A teoria do tempo atômico
Autor: Jorge Luíz Gouveia Sousa
1) Primeira lei: O tempo está no átomo;
A única maneira de se ver o tempo é pelo átomo.
2) Segunda lei: Cada átomo funciona como uma engrenagem;
O tempo funciona como um relógio, se nós abrirmos um relógio mecânico, que não usa a eletricidade para se movimentar, encontraríamos várias engrenagens um ligado ao outro fazendo os ponteiros girarem.
3) Terceira lei: O tempo não é retilíneo, o tempo é aleatório.
Ex:
• O Big Bang – o mesmo não e uma explosão retilínea; mais sim uma explosão aleatória;
• O relâmpago;
• A chuva;
• As ondas do mar;
• O vento;
• As estrelas do céu;
• As nuvens do céu;
• A superfície irregular da terra;
• Terremoto;
• A explosão de um vulcão;
• Tsunami;
Também são eventos aleatórios:
• Loteria;
• Qualquer esporte;
• Qualquer jogo de azar;
• A internet é uma rede aleatória;
• Fazer Downloads de arquivos;
• Quando o celular fica sem sinal;
• Criptografia;
Também são eventos aleatórios:
• Dengue;
• Gripe;
• Dor de Cabeça;
• Doenças Sexualmente Transmitidos;
Também são eventos aleatórios:
• Previsão do Tempo;
• Lei de Mendel;
• Lei de Murphy;
• A Economia (Merda Errei);
Obs.:
• A Diversidade de raça, cor e religião
• Os robôs só andam em superfície plana e não em superfícies aleatórios
(Chatos)
4.a) Quarta lei: Para nós da terra, o tempo é circular.
Ex:
• Movimento de Translação (de 365 dias);
• Movimento de Rotação (24 horas);
4.b) Quando a terra gira 360o (tanto na rotação, quanto na translação), fica no eixo 0o. Significa que quando a terra andar 365 dias será ANO ZERO. Então, Feliz Ano Zero!
5) Quinta lei: o tempo é uma ilusão de ótica;
Para o tempo não existe, passado, e futuro - somente o presente.
O tempo é uma força sempre empurrando para frente qualquer objeto ou qualquer coisa.
6) Sexta lei: como é possível ver o tempo?
Pegue um ímã e uma moeda, quando ímã atrair a moeda é possível ver o tempo.
7) Sétima lei: Lei da atração e da repulsão
Todos os átomos atraem e repelem iguais a um ímã.
8) Oitava lei: Para viajar no tempo ou vasculhar o tempo é preciso de um “video cassete” gigante;
Não existe no universo este tipo de video cassete.
9) Nona lei: como é formado o tempo?
O tempo é formado por cargas elétricas (negativo e/ou positivo) e a distância.

Obs: Não sei
a função dos nêutrons
(mudando de assunto: os nêutrons só servem como massa).
10) não é possível parar o tempo;
Ou seja:
![]()
Z dividido por zero é uma operação impossível.
11) Décima lei: não é possível voltar no tempo;
Ou seja:

Z dividido por x negativo é uma operação impossível.
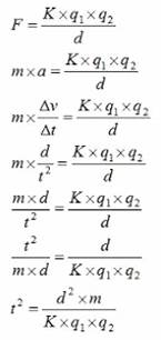
12) Fórmula aproximada do tempo;

13) Na realidade, fórmula que se aproxima do tempo:

F = Força; q1 e q2 = Cargas Elétricas; K = Constante do meio; d = distancia. q1 e q2 = Cargas elétricas.

a = aceleração; Δv = velocidade; Δt = tempo; t = tempo; d = distância.
![]()
F = Força; m = massa; a = aceleração.
Solução



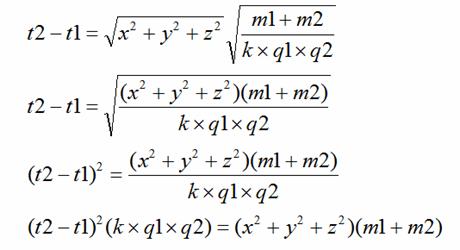
t = tempo; d = distância; m = massa; K = Constante do meio; q1 e q2 = Cargas elétricas.
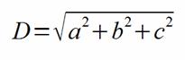
1) Espaço tri dimensional
Diagonal de um paralelepípedo
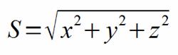
2) Tempo
3) Segunda Fórmula do tempo:
1ª Lei de Einstein e Neuton
A Gravidade é uma das constantes k.
2ª Lei de Einstein
Se tivermos três planetas: um planeta água, um planeta xuxu e um planeta rocha. A constante k é diferente. Temos 3 constantes k.
3ª Lei de Stephen Hawking
Se nós tivermos um cronômetro e apertarmos o botão do cronômetro só existirá início => fim. E nunca fim => início.
4ª Lei de Stephen Hawking
5ª Lei de Stephen Hawking
Podemos voltar ao passado: não da minha forma, sabe quando estamos anos luz de uma estrela. E a estrela não existir. (Risos) Pois é pode ser equacionado. Basta colocar um monte de satélites anos luz.






Cumprir horário, chegar a tempo, seguir a agenda, evitar atraso. Essas são algumas das preocupações mais corriqueiras do nosso dia a dia. A luta contra o relógio é uma batalha difícil que leva muitos a sonhar com um dia com “mais de 24 horas”. Contudo, justamente por ser algo tão corriqueiro nunca paramos para pensar se o ritmo das pessoas sempre foi esse. Em alguns casos, temos a impressão de nem conseguimos projetar uma vida levada de um modo diferente.
Todos nós fazemos planos. Temos vontades, elaboramos propósitos, traçamos caminhos, sonhamos. Porém, muitas e muitas vezes o que almejamos realizar não dá certo. Fracassa. O que fazer nessa hora? Como vemos nos comportar se isso acontece? Nesse caso o que devemos fazer é abandonar o projeto que elaboramos, deixar para lá, descartar.
Tenho visto o mundo ao meu redor serem dominadas por tristeza, dificuldades, reclamações, crise. Amigos estão perdendo o emprego. Casamentos estão acabando. Depressão domina muita gente.
Algum projeto seu já fracassou? Bem, o meu sim. Meu plano fracassou monumentalmente. Mas ainda tenho uma centelha de esperança de que o que propus esteja em sintonia com a vontade divina e, por isso, persistirei.
Não desista dos seus planos. Persista. Persevere. Se tudo indicar que o plano nasceu do coração do homem e não no de Deus, aí sim o abandone. Mas, se não vá em frente, recolha os caquinhos e faça algo novo. Se for um projeto segundo a vontade de Deus, pode acreditar: valerá a pena. E algo belo e novo brotará sobre a terra.
Como em muitos casos descrever um evento que está predestinado, muitas pessoas não acreditam que o destino existe. Diferentes pessoas, correntes filosóficas e religiões têm concepções distintas do que é o destino.
Alguns acreditam que o destino é uma força misteriosa que determina os acontecimentos na vida das pessoas. De acordo com o Cristianismo, por exemplo, o destino não existe, e sim a vontade de Deus, que controla e determina os acontecimentos.
A expressão “sem destino” descreve algo ou alguém com manifestação aleatória, que vive ao acaso. Ex: Ele nunca teve um lar, sempre foi visto como uma pessoa sem destino.
Segundo a mitologia grega, o destino erra determinado pelas três irmãs conhecidas como Moiras, divindades que tinham influência nos homens e nos deuses. Na Mesopotâmia, o destino do ser humano era determinado pelas estrelas.